Theory and Defination :
The Arndt-Eistert reaction is employed in converting a carboxylic acid to a higher homologue with one additional carbon atom.
It is named for the German chemists Fritz Arndt (1885–1969) and Bernd Eistert (1902–1978), Arndt–Eistert synthesis is a popular method of producing β-amino acids from α-amino acids.
Acid chlorides react with di-azomethane to give di-azoketones. In the presence of a nucleophile (water) and a metal catalyst (Ag2O), di-azoketones will form the desired acid homologue.
General Reaction :
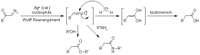
The Arndt-Eistert Synthesis allows the formation of homologated carboxylic acids or their derivatives by reaction of the activated carboxylic acids with diazomethane and subsequent Wolff-Rearrangement of the intermediate diazoketones in the presence of nucleophiles such as water, alcohols, or amines.
Mechanism:
In the first step of this one-carbon homologation, the diazomethane carbon is acylated by an acid chloride or mixed anhydride, to give an α-diazoketone. The excess diazomethane can be destroyed by addition of small amounts of acetic acid or vigorous stirring. Most α-diazoketones are stable and can be isolated and purified by column chromatography (see recent literature for specific methods).
The key step of the Arndt-Eistert Homologation is the Wolff-Rearrangement of the diazoketones to ketenes, which can be accomplished thermally (over the range between r.t. and 750°C [Zeller, Angew. Chem. Int. Ed., 1975, 14, 32. DOI]), photochemically or by silver(I) catalysis. The reaction is conducted in the presence of nucleophiles such as water (to yield carboxylic acids), alcohols (to give esters) or amines (to give amides), to capture the ketene intermediate and avoid the competing formation of diketenes.
The method is widely used nowadays for the synthesis of β-amino acids. Peptides that contain β-amino acids feature a lower rate of metabolic degradation and are therefore of interest for pharmaceutical applications.
Examples :
1) Arndt-Eistert reaction is used in the conversion of 4-nitrobenzoic acid to (4-nitrophenyl)acetic acid .
2) The carboxylic group is first converted to an anhydride using ethyl chloroformate, ClCO2Et.

0 Comments:
Post a Comment