Theory and Defination :
The Cope rearrangement is an organic reaction where a 1,5-diene, under thermal conditions, is converted to another 1,5-diene structural isomer. This reaction belongs to a class of reactions termed "sigma tropic rearrangements" and it is a concerted process where bonds are forming and breaking at the same time. When substituents are present in the initial diene starting material, the stereochemistry of this reaction can be predicted by drawing the molecule in a chair-like conformation. Placing the substituents in the equatorial position minimizes the steric interactions and leads to the major product. The Cope rearrangement is an equilibrium reaction and the equilibrium position is determined by the overall stability of the starting material and product.
General Reaction :
The Cope rearrangement is an extensively studied organic reaction involving the [3,3]-sigmatropic rearrangement of 1,5-dienes.It was developed by Arthur C. Cope. For example 3-methyl-1,5-hexadiene heated to 300°C yields 1,5-heptadiene.
Mechanism:
The Cope rearrangement is a pericyclic reaction, as shown below
Transition state is formed when heat is applied.
The rearrangement is widely used in organic synthesis. It is symmetry-allowed when it is suprafacial on all components. The transition state of the molecule passes through a boat or chair like transition state. An example of the Cope rearrangement is the expansion of a cyclobutane ring to a 1,5-cyclooctadiene ring:
In this case, the reaction must pass through the boat transition state to produce the two cis double bonds. A trans double bond in the ring would be too strained. The reaction occurs under thermal conditions. The driving force of the reaction is the loss of strain from the cyclobutane ring.
In this case, the reaction must pass through the boat transition state to produce the two cis double bonds. A trans double bond in the ring would be too strained. The reaction occurs under thermal conditions. The driving force of the reaction is the loss of strain from the cyclobutane ring.
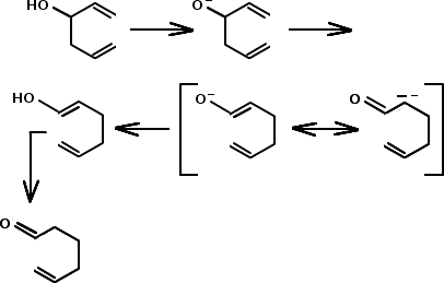
Oxy-Cope rearrangement:
In the Oxy-Cope rearrangement a hydroxyl group is added at C3 forming an enol or enone after Keto-enol tautomerism of the intermediate enol.
for instance in this reaction:
In 1975, Evans
and Golob showed that deprotonation of oxy-Cope substrates to form the
corresponding alkali metal alkoxides resulted in rate accelerations of
1010 to 1017 for the oxy-Cope rearrangement.
Typically potassium hydride and 18-crown-6 are employed in order to
generate a fully dissociated potassium alkoxid.
It is noteworthy that the anion-accelerated oxy-Cope reaction can proceed with high efficiency even in systems that do not permit good orbital overlap, as seen in this example from Schreiber's synthesis periplanone B


0 Comments:
Post a Comment